On December 16, 2025, the research team led by Prof. Ke Chen has made significant breakthroughs in the study of high-power mid-infrared laser pulse modulation. The related paper, titled “Atomic Oxygen-Passivated 2D Zr/Ta Telluride Crystals as Saturable Absorbers for High Power Mid-Infrared Pulse Generation”, was published online in the international top-tier journal 《Advanced Functional Materials》 (https://advanced.onlinelibrary.wiley.com/doi/10.1002/adfm.202530237?af=R).
1. Introduction
Mid-infrared (MIR) lasers hold significant application value in areas such as optical parametric oscillators, biological tissue imaging, and molecular spectral sensing. However, the development of MIR pulsed lasers still faces considerable challenges due to the lack of ideal high-quality saturable absorbers (SAs). Two-dimensional (2D) transition metal tellurides (TMTs) are regarded as highly promising saturable absorber materials for the mid-infrared range, owing to their excellent broadband response and nonlinear optical absorption properties. Nevertheless, the small electronegativity difference between transition metals and tellurium atoms in TMTs results in relatively weak chemical bonds, making the materials susceptible to erosion by oxygen and moisture in air. This poor environmental stability severely limits their practical application in mid-infrared pulsed lasers. Therefore, enhancing the stability of TMT-based SAs under MIR laser operating conditions to achieve high-power pulse output has become a key issue for advancing their real-world use.
2. Achievement Summary
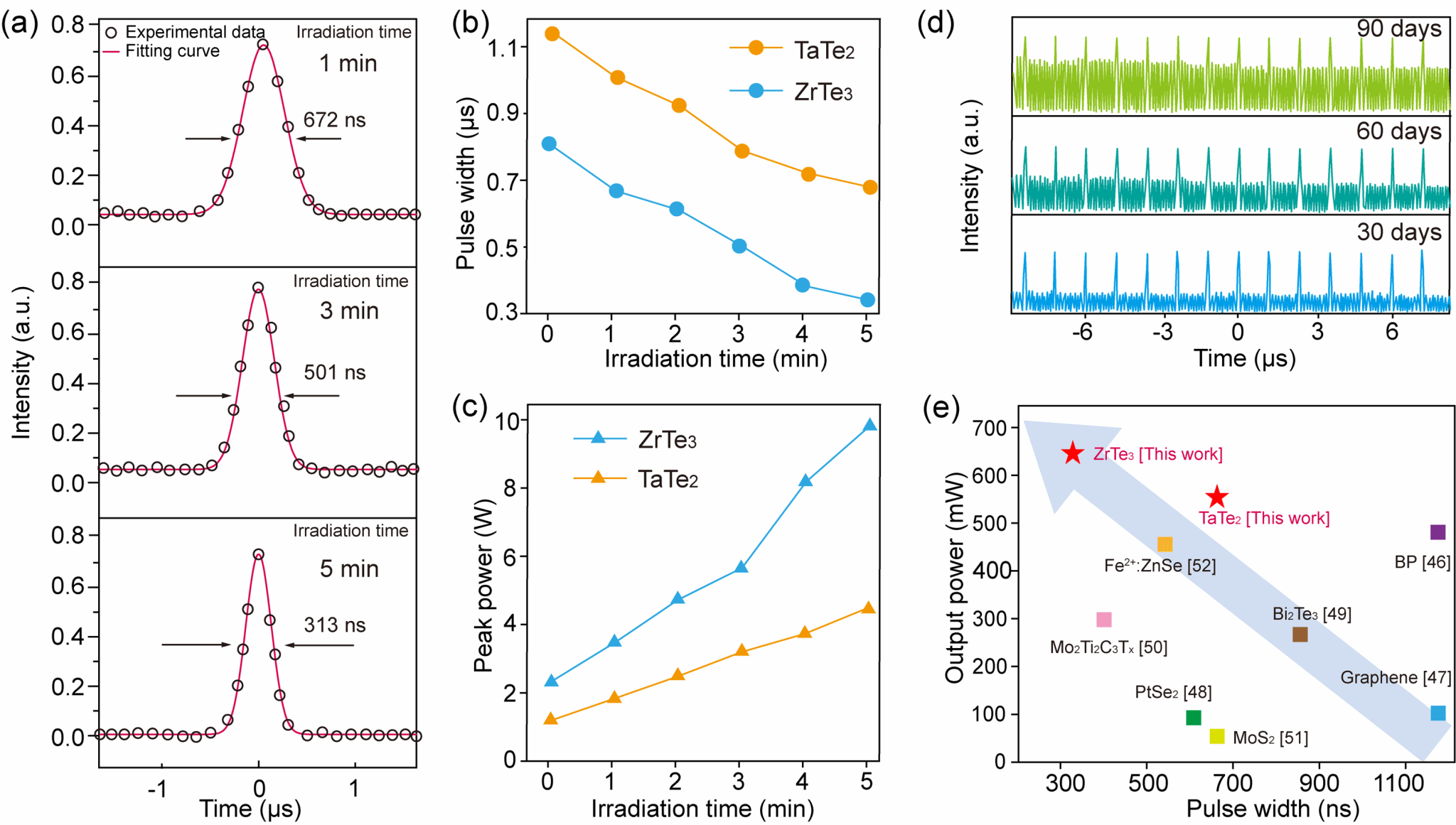
This study proposes a strategy for preparing high-performance 2D TMT-based SAs. The approach involves the in-situ growth of large-area, high-quality 2D ZrTe3 and TaTe2 thin films on CaF2 substrates, followed by oxygen plasma passivation treatment to form a dense and stable Zr/Ta oxide protective layer on the material surface. This oxide layer effectively isolates the material from corrosion and laser damage caused by ambient moisture and oxygen, thereby significantly improving the device’s stability and optical performance without introducing substantial loss to the mid-infrared laser. Experimental results show that the optimized ZrTe3 saturable absorber delivers a Q-switched pulse with a peak power of up to 9.92 W and a pulse width of 313 ns at ~3 μm. The TaTe2 saturable absorber achieves a peak power of 4.26 W with a reduced pulse width of 680 ns. Notably, the fabricated saturable absorbers retained stable Q-switched pulse output capability after being stored in air for three months, demonstrating excellent operational stability.
The novel preparation strategy for mid-infrared 2D telluride saturable absorbers presented in this work provides an important material foundation and technical pathway for developing high-performance, long-lifetime mid-infrared pulsed laser sources. It holds considerable value for industrial promotion and practical application of high-power mid-infrared lasers.
3. Graphical Overview

Figure 1. Preparation and saturable absorption properties of TMT-SAs.

Figure 2 Q-switching performance of TMT-SAs.

Figure 3 Saturable absorption properties of TMT-SAs after plasma oxidation.

Figure 4 Q-switching performance based on TMT-SA under different irradiation time.
Postdoctoral researcher Weitao Liu and master’s student Kunying Liu from Henan University are co-first authors of the paper. Prof. Ke Chen and Prof. Junhui Liu are co-corresponding authors. Henan University is the sole corresponding institution. The study was supported by projects such as the National Natural Science Foundation of China, the National Ten-Thousand Talent Program, and the Central Plains Talent Program of Henan Province.